近日,厦门大学福建台湾海峡海洋生态系统国家野外科学观测研究站(台海站)、环境与生态学院、海洋生物地球化学全国重点实验室肖武鹏副教授团队,成功开发了一种新方法,能快速估算河口-海湾浮游植物的初级生产力。该研究成果以“Estimating phytoplankton primary production by coupling pulse amplitude modulation and incubation methods”为题,发表于Limnology and Oceanography: Methods.
研究背景
浮游植物是水生生态系统中最重要的初级生产者,其初级生产力(PP)直接影响全球碳循环和生物地球化学过程。准确、快速地测定浮游植物的初级生产力是理解水生生态系统功能的关键。传统的初级生产力测量方法,如14C同化法和黑白瓶测氧法,存在操作复杂、难以实现高时空分辨率等局限。此外,遥感方法虽然可以提供较高的时空分辨率,但在复杂近岸水体的可靠性较低。这些问题限制了小时空尺度上对河口和海湾等水域生态系统初级生产力的动态观测。
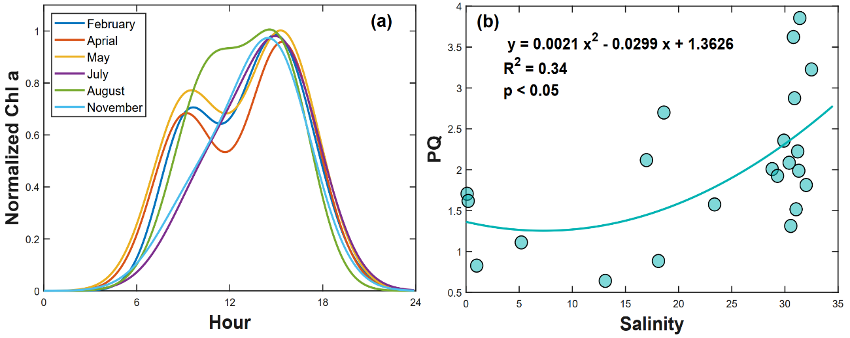
为突破这些局限,研究团队提出了一种基于脉冲振幅调制(PAM)快速光曲线(RLC)估算自然浮游植物初级生产力的新方法。该方法结合了动态变化的叶绿素数据和盐度外推的光合熵(PQ)动态(图1),并通过与传统14C同化法和黑白瓶测氧法对比,验证了有效性与可靠性(图2),提高了基于PAM的浮游植物光合速率估算的时空分辨率和现场适用性。

图1.(a)不同月份叶绿素周日变化;(b)光合熵(PQ)与盐度的关系

图2. 基于PAM估算的初级生产力与黑白瓶氧释放速率(a)和固碳速率(b)的关系
研究结果
  研究揭示了九龙江口-厦门湾、漳江口-东山湾等区域的表层初级生产力时空动态(图3)。表层初级生产力自河口上游向下游海湾逐渐降低,但在九龙江口中游最大浑浊带附近,常形成最低值区域。夏季初级生产力最高,春季次之,秋冬季节的初级生产力较低。结合表层PAM测量数据、真光层深度和水域面积,进一步估算了各个区域的年固碳通量,其中九龙江口、厦门湾、漳江口和东山湾分别约为2078 t C a-1、9813 t C a-1、225 t C a-1和1059 t C a-1。

图3. 基于PAM估算的九龙江口-厦门湾、漳江口-东山湾表层初级生产时空分布
研究意义与前景
  该方法为PAM在浮游植物初级生产力估算中的应用提供了新思路,在河口、海湾等复杂小尺度生态系统中的高频应用方面具有重要潜力,有助于更精确地评估这些区域的生态功能和生物地球化学循环,为生态系统管理保护以及碳循环研究提供重要数据支持。
研究团队及资助
  该论文第一作者为厦门大学博士生王义冲,通讯作者为肖武鹏副教授和陈纪新高级工程师。共同作者还包括厦门大学黄邦钦教授、博士生徐超和李炜男、硕士生张亚琴,以及往届硕士毕业生向明旺、薛成文和杨淳。该研究获得国家自然科学基金项目(42141002、42130401和42276209)和福建省海洋与渔业发展专项基金(FJHYF-ZH-2023-04)的联合资助。
论文来源及链接
Wang, Y., Xiao, W., Xue, C., Zhang, Y., Xu, C., Li, W., Xiang, M., Yang, C., Chen, J. and Huang, B. (2025), Estimating phytoplankton primary production by coupling pulse amplitude modulation and incubation methods. Limnol Oceanogr Methods. doi: 10.1002/lom3.10678
https://aslopubs.onlinelibrary.wiley.com/doi/full/10.1002/lom3.10678
供稿|王义冲 肖武鹏
编辑|朱佳
排版|陈蕾 李灿如
审核|朱旭东